產品簡介
E.coli 殘留 DNA 檢測試劑盒利用 TaqMan 探針法 qPCR,檢測各種生物制品及藥品的中間品、半成品和成品中的 E.coli 宿主細胞殘留 DNA。本試劑盒配套有 E.coli DNA 定量參考品,濃度與國家標準品一致,特異性強、靈敏度高(可檢測 fg 級別)、 檢測快速,可用于 E.coli 宿主細胞殘留 DNA 的準確檢測。
產品組分
| 組分貨號 | 組分名稱 | A801-10 | 
|---|---|---|
| ZA801-101 | E.coli qPCR Mix(with Primer&Probe) | 750 μl×2 | 
| ZA801-102 | E.coli DNA Control(30 ng/μl) | 50 μl | 
| ZA801-103 | DNA Dilution Buffer | 1.5 ml×4 | 
注:本試劑盒不含 ROX 參比染料,若使用的 Real Time PCR 擴增儀需要增加 ROX 比染料,推薦購買本公司 High & Low ROX Reference Dye (Cat#A322)。本產品適用機型:ABI Prism 7000/7300/7700/7900HT/7500/7500 Fast,ABI Step One/Step One Plus,ABI QuantStudio 系列,Bio-Rad CFX96 系列,Roche LC96/LC 480, Agilent Mx3000P 等。包含但不僅限于以上機型。
保存條件
-20℃ 保存,避光,保質期 24 個月,避免反復凍融。
數據展示
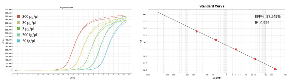
1. 靈敏度測試
GenStar #A801 E.coli 殘留 DNA 檢測線性范圍為 30 fg/μl~300 pg/μl,線性范圍寬,靈敏度高。

2. 最低檢測限
檢測濃度梯度為 50 fg/μl、40 fg/μl、30 fg/μl、10 fg/μl、5 fg/μl E.coli DNA,每個濃度梯度設置 10 個重復。30 fg/μl 及以上濃度 10 個重復 Ct 值 CV<5%,即 GenStar #A801 最低檢測限可達 30 fg/μl。

3. 重復性測試
重復 20 次檢測 3 pg/μl 和 300 fg/μl 的 E.coli DNA,CT 值 CV<5%,結果顯示 GenStar #A801 重復性好。

4. 抗干擾能力測試
在濃度為 300 pg/μl、30 pg/μl、3 pg/μl、300 fg/μl、30 fg/μl 的 E.coli DNA 中分別加入 10 ng/100 ng CHO、Hek 和 Human DNA 作為干擾 DNA,結果顯示干擾組與對照組基本重合,可見 GenStar #A801 特異性很強,不同細胞系間無交叉反應,結果更準確。

5. 與 Com H 對比測試
GenStar #A801 與 Com H 對 30 fg/μl、10 fg/μl E.coli DNA 擴增效果均良好。8 個 NTC 中,Com H 全部起峰,GenStar #A801 只有一個起峰,因此 GenStar #A801 檢測結果更準確。

        
      
    請按照實際實驗情況進行使用,如有疑問,請聯系您的業(yè)務員或致電技術支持熱線400-666-3332撥2